近日,福建省高校课程思政教育联盟公布了第二批课程思政优秀教学案例入选名单,共有163个案例入选。其中,厦门大学经济学科洪永淼教授的《计量经济学因果推断:中国国有企业渐进式改革政策评估》课程思政教学案例入选。

近年来,厦大经济学科将课程思政建设有机融入课堂教学建设全过程,以经济学人才培养能力作为核心点,引导教师主动思考、积极创新,将思政育人融入专业课堂、第二课堂、学业竞赛、社会实践等育人全过程,全面提升广大教师开展课程思政建设的意识和能力,制定《厦门大学经济学科“课程思政”建设项目与管理办法》,建立健全课程思政建设的保障机制,形成一套符合经济学科专业育人特点、符合认知科学要求、使思政工作落地见效的教学体系。经济学科广大教师倡导启发式、参与式、互动式、案例式教学方法以及研究性学习,努力实现思想政治理论课由传统的应试教育向素质教育转变,大力推进思政育人与专业课程教育的有机融合。
教学案例简介
过去几十年来,统计学与计量经济学研究的一大进展就是因果推断。计量经济学因果推断可应用于定量评估各种经济与公共政策。在中国特色社会主义市场经济中,市场在资源配置中发挥决定性作用,同时政府也发挥积极作用,弥补市场机制在某些方面的失灵或不足。从理论上说,发挥市场和政府“两只手”的作用,要比只发挥“一只手”的作用大。但是,为了更好发挥政府作用,需要科学评估各种经济与公共政策效应。正如转型经济学家约翰·麦克米兰所指出的,“要弄清楚市场和政府之间的相互作用,最好的办法并不是对其进行抽象的争论,而是考察现实经济在不同程度的政府干预下实际运作的效果如何。政府的干涉是否必要,干预的具体程度是否合理,最好都根据具体问题进行具体分析。”
为此,我们设计一个典型的政策评估案例,用工具变量法来评估中国改革开放的成效。本文的数据和方法来自洪永淼教授1994年发表在Quarterly Journal of Economics的论文“Autonomy and incentives in Chinese state enterprises”。
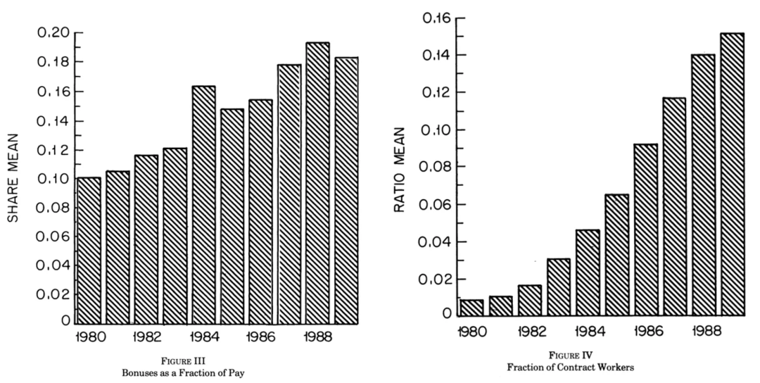
在1980年代,中国政府对国有企业在不改变所有制的前提下引进了一些重要改革,其中包括两个激励改革:一是引入奖金制度,二是变终身职为合同工。经济激励理论预言,这些激励措施将提高工人劳动积极性,从而提升企业劳动生产率。

为了检验事实是否如此,案例使用了CASS样本的一个子集:行业层面样本量相当大的五个行业(纺织业,有103家企业;化工业,有80家企业;建材业,有52家企业;机械业,有158家企业;电子业,有44家企业;对于每一个行业都有1980-1989年的时间序列),构造生产函数模型,旨在找到一种衡量生产率的方法,该方法可以解释资本存量和材料投入、技术创新和改革(本文所研究的除外)增加的影响,通过运行回归模型,同时估计每个行业的生产函数,并测试因改革引起的任何效率变化。

案例演示了工具变量在政策评估中的应用,数据分析表明中国渐进式改革显著提高了国有企业的生产率。这与1990年代俄罗斯按照西方主流经济理论而提出的“休克疗法”所造成的严重后果形成鲜明对比。
案例研究显示,工业改革实际上取得了重大成功,企业自主性的提高导致企业层面行为发生了可衡量的变化。随着产出决策的自主性和边际利润保留率的提高,企业增加了奖金的使用,并雇佣了更多的定期合同工。工人激励的加强与更高的生产力相关。生产力的提高,提高了工人的收入(但不是管理层的收入),并导致企业增加了投资。
渐进性改革是中国经济改革的重要方法论,是中国经济发展的独创性经验之一。中国的经济发展,既没有按照马克思主义经典作家所设想的社会主义计划经济模式,也没有采用苏联社会主义计划体制,更没有按照西方发达国家的市场经济模式,而是基于国内外社会主义经济建设正反两方面的经验教训,从实践中创造性地摸索出一条适合中国国情的经济发展道路,在不太长的时间里,将一个贫穷落后的国家发展成为世界第二大经济体,极大地改变了当今世界经济发展格局。正如习近平总书记所指出的,“当代中国的伟大社会变革,不是简单延续我国历史文化的母版,不是简单套用马克思主义经典作家设想的模板,不是其他国家社会主义实践的再版,也不是国外现代化发展的翻版。”
洪永淼,厦门大学邹至庄经济研究院院长,发展中国家科学院院士,世界计量经济学会会士,国家自然科学基金委员会“计量建模与经济政策研究”基础科学中心项目负责人,教育部高等学校经济学类专业教学指导委员会副主任委员。曾任美国康奈尔大学经济学与国际研究讲席教授(2010-2020),中国留美经济学会会长(2009-2010)。
(部重室 洪国斌)